AES008 Pola Pikir
Hanief Adnadi
Thursday October 13 2022, 5:10 PM
AES008 Pola Pikir

Sebelum RTS, aku membawakan olahan “pola bilangan” di kelas. Hari itu aku membiarkan anak-anak membuat pola bilangannya sendiri lalu membawakannya di depan kelas untuk kemudian menjadi sesi “tebak pola” oleh sekelas. Di awal aku sudah batasi agar pola bilangan yang ditulis di depan kelas sudah bisa ditebak dalam 6 bilangan, tapi bisa jadi karena penyampaianku di kelas masih kurang sip (hampura asli da, guru anyar euy) ada lumayan banyak anak yang kemudian menuliskan pola bilangan lebih dari 6. Setelah kelas selesai, aku kemudian diskusi dengan KJ. ada satu kalimat dari beliau yang menurutku menarik. (kak Robert maap yak kalo redaksinya keliru, dah lupa2 inget)

“Pola bilangan itu kalo terlalu rumit namanya udah tebak2an isi kepala si yang bikin pola. Dah ga bisa ditebak dari apa yang terpampang di papan tulis”

Kalo dipikir-pikir, bener juga. Pola bilangan itu kalo kurang obvious dari yang dipampang ga akan bisa ditebak apa bilangan berikutnya. Bahkan yang terlihat awalnya obvious pun kalo memang ada niat usil si pembuat pola bisa saja hasilnya aneh. Coba mari kucontohkan di bawah. Lanjutkan pola bilangan di bawah ini

1, 2, 3, 4, 5, …

Mau ngisi “6”? KAMU SALAH! Harusnya pola bilangan yang terjadi adalah

1, 2, 3, 4, 5, 1, 2, 3, 4, 5, 1, 2, 3, 4, 5, dst

Kandani. Nek aku ono niatan ra elok bisa ae pola bilangan sing muncul kui nyeleneh2 kabeh.

Oke kembali serius. Setelah aku kemudian mengevaluasi hasil RTS matematika. Di sana aku sempat membuat soal seperti ini

Lengkapi pola bilangan berikut

1, 4, 9, 16, …, …, 49, …

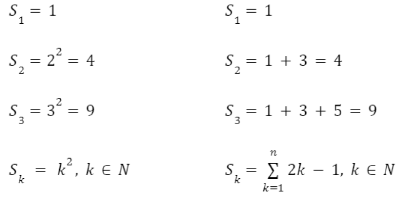
Aku membuat soal tersebut dengan asumsi awal polanya adalah Sk = k^2 , k element N. Tapi ketika aku melihat pengerjaan yang dikerjakan anak-anak, muncul hal-hal aneh seperti ini

S1=1

S2=1+3=4

S3=1+3+5=9

S4=1+3+5+7=16

**pola abstraksi yang ditulis dengan notasi matematika yang proper aku siapkan sebagai gambar, platform ririungan belum mengakomodir penulisan equations**

Pola abstraksi yang kubuat di sana itu adalah pola yang kubuat sendiri dari mengolah omongan-omongan spontan dari anak-anak. Celetukan-celetukan yang keluar ketika membahas soal RTS itu seperti “Aku kira pas ngerjain RTS itu polanya adalah 1, 1+3, 1+3+5, dan seterusnya” atau “Pas ngerjain aku mikirnya selisihnya nambah dua terus”. Ini menandakan bahwa sebuah pola bilangan yang sama itu bisa berbeda-beda ketika menghadapi pemikiran yang berbeda dari masing-masing orang. Ini masih merupakan pola bilangan yang relatif mudah, karena bahkan pola yang paling rumit pun tetap hanya dua lapis, seperti yang sudah kutulis di atas. Kita belum membahas pola bilangan yang rumit

Lalu kenapa aku memberi judul post ini “pola pikir”? Karena aku mengamati itu yang terjadi di dalam kehidupan sehari-hari. Banyak terjadi kita melihat suatu fenomena, lalu kemudian tafsiran fenomena yang ada bisa muncul berbeda-beda dari masing-masing individu maupun kelompok. Contoh konkritnya adalah fenomena transportasi umum. Ada beberapa orang yang menganggap bahwa transportasi umum itu menyita jalan untuk mobil pribadi dan kemudian menyebabkan macet. Sehingga kemudian mereka menentang kendaraan umum. Pola pikir itu bisa saja terbentuk karena dia familier dengan mobil pribadi sehingga yang terpikirkan hanya itu. Sama seperti anak-anak yang lebih familier dengan penjumlahan kemudian akan membawa pola bilangan di atas ke arah pola penjumlahan. Kebalikannya adalah transportasi umum itu hal yang krusial untuk orang-orang yang tidak punya kendaraan pribadi atau bahkan yang tidak mampu mengendarainya. Seperti misal orang yang punya ADHD atau difabel secara fisik sehingga sulit mengemudikan mobil atau mengendarai motor. Untuk mereka yang butuh “diantar” oleh orang lain, transportasi umum yang mudah diakses oleh mereka itu sangat penting sehingga mereka sangat butuh transportasi umum.

Mana pola berikut yang lebih benar? Itu diskusi lain hari. Dan itu merupakan diskusi yang berlapis-lapis yang mensyaratkan pengetahuan luas dari beberapa sektor. Tapi yang sering terjadi adalah ketika kita ber”debat” menyoal ini kita tidak memahami pola pikir lawan “debat” (masalah seberapa produktif model “debat” dalam mengeluarkan ide yang berkwaliteit itu lain hari lagi) kita sehingga yang terjadi adalah “debat kusir”. Atau jangan-jangan kita malah tidak memahami pola pikir kita sendiri? Apa jangan-jangan pemikiran kita sendiri kurang terstruktur? Jika pemikiran diri sendiri saja belum terstruktur, bagaimana menghadapi pemikiran orang lain?

Bukan, ini bukan berarti aku penulis ini si paling terstruktur pemikirannya. Nggak juga, masih ada serampangan berantakan di sana sini. Tapi yang kumaksud adalah, menyadari pola berpikir ini adalah proses. Proses yang bisa jadi berjalan seumur hidup. Dan proses ini hanya bisa dijalani dengan mengamati secara sadar fenomena yang terjadi di sekitar kita lalu kemudian merenungkan itu lalu kemudian mencoba ke luar untuk menyocokkan hasil renungan dengan apa yang terjadi di masyarakat. Dari hal sekecil pola bilangan 1, 4, 9, 16, 25, dan seterusnya sampai pola kemacetan lalu lintas, dan pola-pola fenomena hidup lain. Dan yang terpenting adalah, memiliki keterbukaan saat mencari pola-pola di luar. Siapa tau kemudian muncul sudut pandang baru saat melihat pola yang sama, seperti dua pola bilangan tadi

You May Also Like